Charakteristika a mrtvá doba Geiger-Müllerova počítače

TEORIE:
    Geiger-Müllerův počítač (dále jen GMP) je založen na využití ionizačních účinků záření. Je tvořen válcovou katodou, v jejíž ose je uložena tenká anoda, tvořená zpravidla wolframovým drátkem. Celý systém elektrod je uzavřen v baňce s inertní plynovou náplní (argon, neon). GMP pracují v takovém režimu, kdy elektrony vzniklé primární částicí v počítači se mezi dvěma srážkami urychlí elektrickým polem natolik, že jsou schopny ionizovat další neutrální atomy. Takto vzniklé sekundární elektrony ionizují další atomy, takže na anodu dopadne celá lavina elektronů. Tím vzniká tzv. zesílení v plynu; náboj na elektrodách potom nezávisí na primární ionizaci, ale je dán pouze vlastnostmi počítače.

    Vznik lavin je spojen s vysíláním fotonů, neboť kromě ionizace dochází též k excitaci atomů, které při přechodu do základního stavu vyzáří excitační energii ve formě fotonů. Tyto fotony mohou fotoefektem způsobit uvolnění elektronů z katody, čímž by došlo k rozšířen výboje do celého počítače. Pro správnou funkci počítače je proto nutné zhášení výboje a jeho omezení pouze na primární lavinu.

    Zhášení výboje lze uskutečnit zařazením velkého odporu do obvodu GMP, takže při vzniku výboje se zvětší úbytek napětí na tomto odporu a napětí na GMP klesne pod zhášecí napětí.

    Druhým, v současnosti prakticky jedině používaným typem jsou tzv. samozhášecí počítače. U těchto počítačů se k základní plynové náplni přidává směs tzv. zhášecích plynů (par lihu, methylenu, případně etanu), které mají vysoký koeficient absorpce fotonů. Energie pohlcených fotonů způsobí disociaci molekul příměsi, což má za následek stárnutí náplně a tudíž omezení života počítačů na cca 108-1010impulsů.

    Umístíme-li GMP do blízkosti zdroje konstantního záření, pak počet impulsů N naměřený za jednotku času se mění s rostoucím napětím. Tato závislost se nazývá charakteristika Geiger-Müllerova počítače a je znázorněna na obr. 1

    Počítač začíná registrovat částice až od určitého napětí Us. Velikost impulsu zde závisí na primární ionizaci, takže jsou registrovány pouze impulsy odpovídající částicím s nejvyšší energií. Se vzrůstajícím napětím dochází v důsledku vzniku sekundární ionizace ke zvětšování výšky pulsů, je jich registrováno více až při napětí UG nazývaném Geigerův práh dosáhnou všechny stejné velikosti. Při dalším zvyšování napětí až do určité hodnoty UD je počet registrovaných částic téměř konstantní. Tato oblast se nazývá plato; bývá dlouhé minimálně 100V. Při zvyšování napětí nad hodnotu UD se začne zvyšovat počet sekundárních výbojů, což se projeví opětným zvýšením registrovaných impulsů; posléze by došlo až k trvalému výboji a následnému zničení GMP. Vznik sekundárních výbojů je způsoben nedostatečným zhášením a tím, že při rostoucím napětí roste pravděpodobnost vzniku sekundárních lavin.

    Pracovní napětí počítače U P (neboli pracovní bod) se volí uprostřed plata. Protože nenulová pravděpodobnost vzniku sekundárních lavin je i v oblasti plata, není počet registrovaných impulsů v závislosti na napětí konstantní, ale mírně stoupá. Velikost sklonu plata je další důležitou charakteristikou počítače a udává se v procentuelním přírůstku počtu zaregistrovaných impulsů vzhledem k počtu impulsů registrovaných v pracovním bodě počítače na 100V podle vztahu:

          (1)

kde NG, ND a NP je po řadě počet pulsů registrovaných při napětí UG, UD a UP. U nejlepších počítačů bývá sklon menší než 0,03% na 100V; v řadě aplikací však stačí počítače se sklonem plata do 1%.

    Po rozvinutí výboje vznikne v okolí anody v důsledku menší pohyblivosti iontů kladný prostorový náboj, který brání dopadu dalších elektronů na anodu. Částice, která v tomto okamžiku vnikne do GMP nevytvoří impuls a nebude tedy registrována. Iontový oblak se přesouvá směrem ke katodě a po určité době tD, nazývané mrtvá doba, může částice vniknuvší do počítače opět vytvořit impuls; výška tohoto impulsu bude ovšem nižší. Původní velikosti dosáhnou impulsy až po tzv. zotavovací době tZ, kdy většina prostorového náboje zrekombinuje. Při použití citlivých zesilovačů je rozlišovací doba t = tD + tZ, která musí uplynout mezi dvěma průlety částic, aby obě vytvořily stejně vysoký napěťový impuls, přibližně rovný mrtvé době tD (a je s ní většinou ztotožňována). Chyba způsobená mrtvou dobou se projeví zvláště při vysokých četnostech registrovaných částic. Kromě mrtvé doby GMP existuje ještě zpoždění v elektronických obvodech, které je však minimálně o dva řády nižší a tudíž jej lze zanedbat.

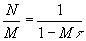
    Předpokládejme, že za jednotku času projde počítačem, jehož mrtvá doba je t, A částic, z nichž je registrováno pouze M. Zřejmě platí M < N, neboť po každé zaregistrované částici je GMP po dobu t necitlivý. Neuvažujeme-li překryv jednotlivých počítacích dob, je při zaregistrování M částic GMP necitlivý po dobu Mt, takže doba, po níž je počítač schopen registrovat dopadající částice je 1 - Mt. Poměr mezi počtem prošlých a registrovaných částic za jednotku času je:

          (2)

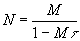
    Skutečný počet částic, které za jednotku času prošly GMP, je tedy:

          (3)

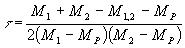
    Mrtvá doba se měří nejčastěji metodou dvou zářičů. Její princip spočívá ve srovnání počtu pulsů registrovaných od dvou zářičů, přičemž nejdříve se měří počet pulsů registrovaných od každého zářiče zvlášť, potom od obou současně. Je nutné, aby oba zářiče měly přibližně stejné parametry.

    Nechť N1 a N2 jsou počty částic, které dopadnou na počítač od zářičů 1 a 2. Počet částic, které dopadnou na počítač od obou zářičů současně potom bude:

          (4)

    Je-li počet pulsů registrovaných od prvého zářiče M1, od druhého M2 a od obou současně M1,2, bude podle (3) a (4) platit:

          (5)

odtud při zanedbání členu s t2:

          (6)

    V případě, že nelze zanedbat pozadí vzhledem k naměřeným četnostem, je nutné jeho hodnotu od naměřených četností odečíst. Při hodnotě pozadí MP přejde vztah (6) na tvar:

          (6’)

    Platnost posledních dvou rovnic je omezena předpokladem, že nedochází k překryvu mrtvých dob. Při vyšších četnostech tento předpoklad neplatí a skutečná necitlivá doba je menší než udávají výše odvozené vztahy. Lze předpokládat, že k překryvu nebude docházet, jestliže bude mrtvá doba maximálně rovna 10% průměrné prodle vy mezi průletem dvou částic počítačem. Na základě tohoto předpokladu lze odhadnout maximální četnost, kdy ještě platí vztahy (6) , resp. (6’ ). Například, bude-li mrtvá doba počítače 100ms, musí být střední prodleva mezi průletem dvou částic 1ms, což odpovídá četnosti 1000 impulsů za 1s.

PRACOVNÍ ÚKOL

1. Proměřte charakteristiku přiložených dvou GMP. K jednotlivým naměřeným hodnotám určete střední kvadratickou chybu a vyznačte ji do grafu. Vypočítejte stoupání plošiny a stanovte pracovní bod počítače. Porovnejte kvalitu obou počítačů.
2. Zdůvodněte, proč při odvozování vztahu (6), resp. (6‘) lze zanedbat člen s t2. Metodou dvou zářičů změřte mrtvou dobu GMP a určete její chybu.

POKYNY PRO MĚŘENÍ

    Měření se provádí na laboratorní měřící soupravě NZQ 727-T. Jako zdroj záření použijte uzavřený školní zářič g (izotop 60Co). Po zapnutí je nutné aparaturu nechat asi 10 minut běžet naprázdno, aby se stabilizovala pracovní teplota. Potom upevněte zářič do stojanu a vzdálenost od sondy upravte tak, aby bylo dosaženo vhodného kompromisu mezi chybou způsobenou mrtvou dobou a pozadím. (Navrhněte postup a jeho ověření).

    Při měření charakteristiky GMP nejdříve proveďte hrubé orientační měření. Potom s  přihlédnutím k tomuto informačnímu měření proměřte 2-3x celou charakteristiku (zdůvodněte opakování experimentu). Jakmile začne počet impulsů ke konci plata vzrůstat, ukončete měření, aby nedošlo ke zničení GMP.

    Mrtvou dobu změřte u počítače, který na základě prvého úkolu vykazuje lepší výsledky, jako zdroje záření použijte opět školní uzavřené zářiče 20Co. Navrhněte optimální pořadí jednotlivých měření v tomto experimentu., do výpočtu potom použijte průměrnou hodnotu. Nutnou podmínkou při provádění této úlohy je, aby vzdálenost zářičů od GMP byla stále stejná. Posuďte, nakolik je ve vašem experimentálním uspořádání splněn předpoklad o nepřekrývání se mrtvých dob.